體育館看臺設計
一、體育館簡介
體育館是指配備有專門設備而能夠進行球類、室內田徑、冰上運動、體操(技巧) 、武術、拳擊、擊劍、舉重、摔跤、柔道等項目或多項室內競技比賽和訓練的體育建筑。主要由比賽和練習場地、開臺和 輔助用房及設施組成。體育館根據比賽場地的功能可分為綜合體育館和專項體育館,不設觀眾看臺及相應用房的體育館也 稱為訓練房。
1)體育館建筑等級劃分:
等級 | 主要使用要求 |
特級 | 舉辦亞運會、奧運會及世界級比賽主場 |
甲級 | 舉辦全國性和單項國際比賽 |
乙級 | 舉辦地區性和全國單項比賽 |
丙級 | 舉辦地方性、群眾性運動會 |
2)體育館看臺規模(觀眾數量)設計
城市規模 | 100萬人口以上城市 | 50-100萬人口城市 | 20-50萬人口城市 | 10-20萬人口城市 |
看臺座位數設計 | 4000-10000座 | 4000-6000座 | 2000-4000座 | 2000-3000座 |
注:當在特定條件下,達不到規定指標下限時,應利用規劃和建筑手段來滿足場館 再使用安全、疏散、停車等方面的要求
二、體育館整體平面形狀
體育館整體平面形狀比較常見的有長方形、正方形、圓形、橢圓形,也有多角形、 其他不規則形狀(如花瓣形、三角形等)。最常見的是長方形和橢圓形
1)長方形平面:長方形平面的優點是外形簡潔、結構簡單,場地縱向兩側看臺視 線好、容量大、基本能按最佳視線位置安排座席,適用于看臺邊線為長方形,場地縱軸兩側或一側為主看臺的中小型館。

2)圓形、橢圓形平面:主要適用于大中型體育館。
示圖如下:

三、看臺視線設計
1)視角:觀眾視線與視平線之間的夾角,分為水平視角和垂直視角兩種。 最佳視角是確保視線質量的重要因素。一般來說視角高度角不宜超過45度,最低不宜低于5度。水平方位角由于體育館比賽 場地是長方形,從觀眾入席實測記錄表明,座席視距大小,高角度的大小(樓廂高度角較堂廂高度視覺質量差)是影響觀 眾座席視覺質量的主要因素。

視覺質量分區圖形
分區 | A | B | C | D | E | F |
視覺質量 | 很好 | 良好 | 滿意 | 可以 | 較差 | 不好 |
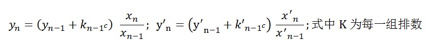
2)視線:由觀眾眼睛至場地設計視點的連線。看臺有可變性、觀眾視線 無遮擋、觀眾視覺質量好,優良視線座席應占90%以上。


視線計算公式:

3)視距:由觀眾眼睛到比賽場地中被觀察物體的距離。視距過遠視覺的清 晰度差,視距近清晰度好,因此,球類體育館最大視距一般不宜大于45m,最小視距不低于3m。
各賽類項目視距如下圖:

四、體育館看臺座椅的設計與選擇
(1)看臺功能分類:
等級 | 主席臺 | 包廂 | 記者席 | 評論員席 | 運動員席 | 一般觀眾席 | 殘疾觀眾席 |
特級 | 有 | 有 | 有 | 有 | 有 | 有 | 有 |
甲級 | 有 | 有 | 有 | 有 | 有 | 有 | 有 |
乙級 | 有 | 無 | 兼用 | 有 | 有 | ||
丙級 | 有 | 無 | 兼用 | 有 | |||
注:1、殘疾觀眾(輪椅)席位數可按觀眾席位總數的2‰計算。位置應方
便殘疾觀眾入席及疏散;2、貴賓包廂面積每間不宜小于2m*3m.
(2)觀眾席位常規選擇:
主席臺 | 記者席 | 評論員席 | 運動員席 | 一般觀眾 | |
特級 | 移動扶手軟椅 |
有背硬椅 | 有背硬椅 | ||
甲級 | 移動軟椅 | 有背硬椅或無背方凳 | |||
乙級 | 有背軟椅 | 無背方凳或無背條凳 | |||
丙級 | 有背硬椅 | ||||
(3)觀眾席最小尺寸
規格 席位種類 | 無背條凳 | 無背方凳 | 有背硬椅 | 有背軟椅 | 活動軟椅 | 扶手軟椅 |
座寬(中心距)mm | 420 | 450 | 480 | 500 | 550 | 600 |
層寬mm | 720 | 750 | 800 | 850 | 1000 | 1200 |
注:1 記者席占2座2排,前排放工作臺;
2 評論員席占3座2排,前排工作臺;
3 看臺排距指凈距,如首末排遇欄桿或靠背后傾又影響應適當加大;
4 一般觀眾座椅高度不宜小于0.35m,且不應超過0.55m;
5 座椅應安裝牢固,并便于看臺清掃,室外座椅還應防止座椅面積水。
(4)座椅選擇實例:
1)普通觀眾席固定固定座椅。
A.普通觀眾席座椅占據大部分席位,視造價不同, 可選用平裝、側裝、立裝。
下面2圖分別為側裝座椅和立裝座椅實例


B.普通觀眾席固定座椅的材質選擇:一般最常用的 是中空吹塑椅,也有注塑椅,玻璃鋼基本已經被淘汰。
C.一體椅和翻板椅。固定座椅視造價情況,可選用 一體椅或翻板椅。翻板椅一般價格是一體椅的價格3-4倍。
下圖為體育館固定觀眾席翻板椅實例:

2)普通觀眾席活動看臺。場地的多功能使用使得活動看臺比較受親 睞。
A.按驅動方式分,可選擇電動伸縮看臺、手動伸縮 看臺;
B.座椅的安裝方式分為前置式和后置式,一般后置 式造價比較高;
C.按座椅的材質分為注塑椅、吹塑椅、軟包椅。
下面為體育館活動看臺實例

3)主席臺桌椅
一般采用軟包椅。下圖為體育館主席臺實例。

6、看臺設計安全消防要求
活動看臺設計和座席布局的要點:首先要方便觀眾的入場和出場,過道的布置和尺寸應滿足消 防安全疏散需要,盡可能的使場館土地最大化利用。觀眾席縱向走道之間的連續座位數目 ,室內每排不宜超過26個,當僅 有一側走道時,座位數目應當減半。
看臺的護欄高度應符合下列要求:
1、欄桿高度不應低于0.9m,再看臺后部危險性較大處嚴禁低于1.1m
2、欄桿形式不應遮擋觀眾視線并保障觀眾安全
3、橫向過道兩側至少一側應設護欄
4、當看臺坡度較大、前后排高度差超過0.5m時,其縱向國道上應加設欄桿扶手;采用無靠座椅時不宜超過10排,超過 時必須增設橫向過道。

.png)